I. Dualité onde–particules – II. Fonction d’onde Ψ (psi)
I. Dualité onde–particules
Tout corps, tant qu’il est suffisamment petit (un électron, un photon, un atome, une molécule… ) est quantique : il semble occuper un volume brumeux et impalpable, mais dès qu’on le mesure, il se réduit soudain en une particule. Cette zone floue est la fonction d’onde. L’onde se réduit en particule au moment de la mesure.
II. Fonction d’onde Ψ (psi)
Récit flash des 25 premières années de la quantique :
-
1900 Max Planck explique l’étrange intensité du rayonnement de la chaleur émise par un four par le fait que cette énergie est discontinue : elle est quantifiée
-
1905 On vient de montrer que la lumière est une onde électromagnétique. Albert Einstein, imagine que la lumière est composée de photons : chacun d’entre eux est à la fois une onde et une particule.
-
1923 Louis de Broglie Les particules très petites de l’ordre du milliardième de mètre sont également des ondes.
-
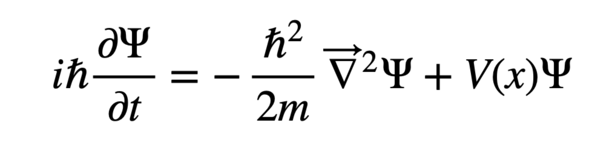
1925 Équation d’Erwin Schrödinger :

Si on fournit à l’équation les caractéristiques de la situation présente, elle permet de prédire ce qui va se passer. Schrödinger, vérifie qu’elle fonctionne parfaitement pour les situations connues à époque.
L’équation est très bien accueillie par les scientifiques, mais des questions se posent. Que représente le symbole Ψ ? Ψ est-elle vraiment une onde ? Si Ψ est une onde, qu’est-ce qui vibre ou oscille pour un électron, qu’est-ce qui joue le rôle joué par l’eau ou l’air pour les vagues et les ondes sonores ?
Autre problème : Schrödinger propose que l’onde se réduit soudainement et devient particule lorsqu’on la mesure. Que signifie soudainement ? L’onde peut-elle se contracter instantanément ? Cela violerait le principe fondamental de la relativité d’Einstein, qui dicte que rien ne va plus vite que la lumière.
En 1926, Max Born, (qui a introduit dans la quantique l’utilisation des matrices et des vecteurs, nouveaux outils mathématiques de l’époque) entrevoit que Ψ n’est pas juste une onde, mais décrit une probabilité de présence. La quantique plonge dans la probabilité et l’indéterminisme. Mais pas dans le flou : il faut bien choisir ce que l’on veut déterminer. Elle permet de calculer avec une précision remarquable la forme de la fonction d’onde et ce qu’elle devient au cours du temps. C’est l’étape de la mesure qui fait intervenir le hasard. Si à l’inverse on veut déterminer l’énergie de la particule, sans se soucier de l’endroit où elle se trouve, le calcul fournit une valeur d’une formidable précision.